拉马努金恒等式,一个初中生能看懂并能证明的神奇公式
拉马努金恒等式,一个初中生能看懂并能证明的神奇公式

-01-拉马努金恒等式
2016年4月8日在英国上映了一部名叫《知无涯者》的电影。电影讲述了印度数学家斯里尼瓦瑟·拉马努金(1887.12.22~1920.4.26),
短暂而传奇的一生。拉马努金出生贫寒,没有受过专门的数学训练,但天资聪颖,完全靠自学。直到1913年,得到英国数学家哈代的赏识,他的数学才华大放异彩。但他不同于传统意义上数学家,他的成果往往是凭直觉得到,只有结论,而没有证明。他短暂的一生发现了3900条数学公式和命题,许多结果完全是新颖的、原始的和非传统的,但被后续证明他的结论都是正确的。
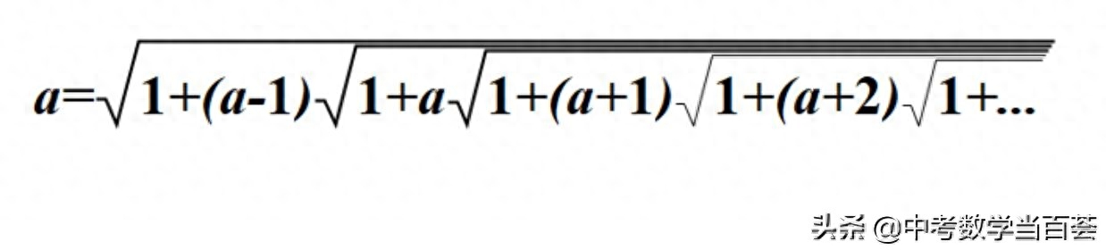
本文要介绍的这个恒等式,就是拉马努金流传最广的成果之一。先看这个恒等式的一边:

我相信大多数人能按照这个式子的规律接着写下去,但会发现这是无穷尽的,并且很好奇这个式子的结果到底是多少?
拉马努金说,这个式子的结果等于3。
他对形如上式的无穷二次根式,进行深入研究得到这个结果,并且将此发表在《印度数学会刊》上征集证明,数月内无人能应。

-02-拉马努金恒等式的数学逻辑
下面我们以今天中学生的认知来看其中的数学逻辑:
3=√9。。。。。一层根号
=√1+8
=√1+2x4
=√1+2√16。。。。二层根号
=√1+2√1+15
=√1+2√1+3x5
=√1+2√1+3√25。。三层根号
=√1+2√1+3√1+24
=√1+2√1+3√1+4x6
=√1+2√1+3√1+4√36。四层根号
。。。。。。
由此不难发现:将3拆分后,含n层根号时,3=
√1+2√1+。。。n√(n+2)²
。。。n层根号
验证一下,n=10时(由外向内数,含10层根号),壮观景象:

第10层根号里的数:
12²=144;
第9层根号里的数:
11²=121;
第8层根号里的数:
10²=100;
。。。
第3层根号里的数:
5²=25;
第2层根号里的数:
4²=144;
第1层根号里的数:
3²=9;
√9=3
理所当然是个恒等式。
-03-拉马努金恒等式的数学证明
问题来了,正整数3可以象这样用二次根式进行无穷拆分,那么其他正整数呢?他是怎么想到了呢?
平方差公式是初中代数中的最基本的公式之一:
a²-1=(a-1)(a+1);
变形得
a²=1+(a-1)(a+1);
即
a=√1+(a-1)(a+1)。
建立一个关于a的函数:
F(a)=a=√1+(a-1)(a+1),则
F(a+1)=a+1
=√1+(a+1-1)(a+1+1)
=√1+a(a+2)
=√1+aF(a+2),
F(a+2)=a+2
=√1+(a+2-1)(a+2+1)
=√1+(a+1)(a+3)
=√1+(a+1)F(a+3),
F(a+3)=a+3
=√1+(a+3-1)(a+3+1)
=√1+(a+2)(a+4)
=√1+(a+2)F(a+4),
...
F(a+n)=a+n
=√1+(a+n-1)(a+n+1)
=√1+(a+n-1)F(a+n+1),
...
通过层层嵌套,得到
F(a)=√1+(a-1)F(a+1)
=√1+(a-1)√1+aF(a+2)
=√1+(a-1)√1+a√1+(a+1)F(a+3)
...
=√1+(a-1)√1+a√1+(a+1)√1+(a+2)√1+。。。
即

其中,a为正整数。
当a=2时,得到

当a=3时,得到

当a=4时,得到

由此,可以把任意一个正整数,用二次根式有规律地无穷展开。
所以拉马努金恒等式,更一般的形式是:

-04-结语
利用平方差公式和函数嵌套(复合函数)的思想,可以来说明他的正确性。虽然初中不提函数嵌套(复合函数)这种说法,但“整体思想”已经具备其雏形,所以上述证明过程,数学程度稍好的同学也可以看懂。
拉马努金没有受过正规的高等数学教育,但他靠自学沉湎于数论,尤其钟爱涉及π、质数等数学常数的求和公式和整数分拆。特别是他对数的直觉(数感)常常令人称奇,以至于亦师亦友的哈代感叹说:“我们学习数学,拉马努金则发现并创造了数学。”

标签:
397
黄婉秋:因演刘三姐遭批斗险些被枪毙,老百姓都看哭了,但我无悔 一提 《刘三姐》 人们忘不了刘三姐与阿牛哥在大榕树下的山盟海誓,更忘不了主题曲 《多谢了》: “多谢了,多...
288
《权力的游戏》:那些消失后再也没有回来的角色到底发生了什么? 我们都知道,《权力的游戏》是一部奇幻剧,这部剧非常善于将故事、线索、人物交织在一起,而里面还有着数不清...
123
中国新说唱:小丑频频抱头痛哭,愿赌不服输被所有选手diss 他来了,他来了,他真的来咯。 7月5号《中国新说唱》第四期准时来咯,不出所料,整个节目的气氛和呈现出来的效果依然...
160
心理学家:判断一个人的气场强不强,看看他的房间就知道 每天耕耘最有趣、最实用的心理学 我们常常可以听到周围人对他人会有这样的描述:“这个人的气场很强大。” 那究竟,什...
102
神奇的面包树,一棵树养活一家人,果实味道似面包,还能治病 我们常用“天上掉馅饼”来比喻不切实际的白日梦,可你听说过“树上长面包”么? 别说,“树上长面包”倒是真的有...
177
提醒一句:饮酒过后出现这5个症状,也许是胰腺炎“悄悄”找上你 胰腺炎是胰腺组织的炎症性疾病,有急慢性之分, 而诱发胰腺炎的危险因素有胆囊结石发展,长期过量饮酒等。 病情...
240
所有人注意!梅子酒再好喝,也千万不要再喝了 不少朋友都会自制一些梅子酒来喝,制作的方法比较容易,而且口感非常好,所以不少朋友都非常喜欢,梅子酒非常好喝,而且营养价格...
173
使用荣耀8x手机的优缺点 荣耀8x已经用了近两个多月了,目前把所有的优缺点归纳已下几点: 优点:1、显示屏幕大,荣耀8X采用6.5英寸的LCD屏幕,色彩鲜艳,并且通过德国莱茵护眼模式,...
268
立定跳远为什么跳不远?又该怎样有针对性的解决?看这里 立定跳远作为体育必考项目之一,直接反映下肢的爆发力和弹跳力,考验全身的协调性、平衡性和灵敏性。 很多人对立定跳...
207
咳嗽-拔罐的部位和方法 一,咳嗽辨证分型: (1),外感咳嗽 1,风寒束肺:咳嗽白痰,鼻塞流涕,恶寒发热,头痛,全身酸楚,舌淡,苔薄白,脉浮紧。 2,风热犯肺:咳嗽黄痰,粘...
105
建设全速推进!淄博341个项目完成投资578亿元 齐鲁网·闪电新闻10月18日讯 10月18日,淄博市政府新闻办公室组织召开新闻发布会,淄博市发展和改革委员会发布了今年以来全市重大项目...
380
火凤凰”黑猫“44岁徐洪浩和34岁的妻子刘晓洁近照,儿子已7岁 徐洪浩,1973年10月28日出生于安徽省合肥市,1996年毕业于上海戏剧学院表演系,中国大陆男演员,徐洪浩在电视剧《DA师...
134
陈全林:93岁老党员的初心本色 为什么入党? 这是每名共产党员终其一生都要常问常省的命题。入党,是一名党员在灵魂最高处作出的政治抉择,是心灵最深处刻下的精神誓约,更是人...
203
陈情令:魏无羡如何度过乱葬岗的三个月,只道一言难尽 陈情令中,魏无羡剖了自己的金丹给了江澄,灵力尽失的他被温晁丢入乱葬岗,三个月后重归于世。相信很多令牌和小编一样,...
155
朝秦暮楚这个典故的由来到底是什么? 现在说起朝秦暮楚,肯定有人很熟悉,意思和朝三暮四相近,主要用来比喻人反复无常,没有原则。亦比喻行踪不定或生活不安定。但是关羽朝秦...
195
五经主要内容是什么? 《文心雕龙.宗经2》作者:刘勰(约公元465——520),字彦和,生活于南北朝时期的南朝梁代,中国历史上的文学理论家、文学批评家。汉族,生于京口(今镇江...
155
如何煮冻饺子,记住这6点,煮熟和鲜水饺一样 饺子很多人爱吃,特别是北方人更爱吃,一个星期不吃上一回,那都要馋坏了,可是包饺子有些太麻烦,费时又费力,现在很多人都很忙...
82
清明节吃什么传统食品 明天就是传统节日清明节了,唐宋之后,清明节就有了追远祭亡、郊游踏青、插柳拔河,放飞纸鸢的传统活动。 不过在今天,清明文化留给我们最深的印记,还...
92
感恩对我好的人的句子(感恩所有帮过我的人的表达) 人活着,不是你认识多少人, 而是你落魄的时候, 有多少人认识你; 人活着,不是仰望你的有多少人, 而是你坠落的时候, 有...
191
肝胆相照的意思是什么 中医药文化│成语中的中医药 肝胆相照 清代小说《儿女英雄传》第十六回中说:“我两个一见,气味相投,肝胆相照。” 肝胆相照是我们耳熟能详的一个成语,...