高考数学压轴题秒杀技巧:用拉格朗日中值定理,轻松搞定高考大题
拉格朗日中值定理(Lagrange Mean Value Theorem,提出时间1797年)又称拉氏定理,又称微分中值定理,是微分学中的基本定理之一。
它反映了可导函数在闭区间上的整体的平均变化率与区间内某点的局部变化率的关系。
拉格朗日中值定理是罗尔中值定理的推广,同时也是柯西中值定理的特殊情形,是泰勒公式的弱形式(一阶展开)。
拉格朗日中值定理是微分中值定理的核心,其他中值定理是拉格朗日中值定理的特殊情况和推广,它是微分学应用的桥梁,在理论和实际中具有极高的研究价值。
一、拉格朗日中值定理的概念和几何意义

2、几何意义:
在满足定理条件的曲线上y=f(x)至少存在一点C1(ξ1,f(ξ1)),该曲线在该点处的切线平行于曲线两端的连线AB(如图)

二、拉格朗日中值定理的应用
1、为什么要用拉格朗日中值定理去解决高考数学问题?
近年来,以高等数学为背景的高考命题成为热点。也就是说,在当前的高考数学试题中,有一些省份或者有一些试题,里面含有了高等数学(大学数学)的成分。这些题目虽然可以利用中学的数学知识解决,但是往往比较繁琐,同时还容易出现证明不下去的尴尬局面。
在这个时候,如果我们提前知道了一些高等数学(大学数学)的相关知识,那么在解题的过程中,相对来说,就简单很多。因为这些高考试题本身就带有高等数学的相关“影子”,同时高等数学的一些知识点,应用到高考题目中,一般只应用一些比较简单的部分,所以此时用高等数学的知识去解决高考压轴大题,就变得简单了。
2、拉格朗日定理具体用来解决哪些类型的数学题目?
一般来说,用来解决高考试题中的函数题、导数题和不等式证明题、恒成立问题、参数范围题等。
三、和拉格朗日定理有关的题目案例分析
【1】直接应用拉格朗日中值定理来解题


例2、填空题选择题中,使用拉格朗日中值定理能够快速解题

【2】求割线斜率大小----几何意义的利用
由拉格朗日中值几何意义可知:曲线上两点的割线斜率,可以转化为曲线上切线的斜率。即连续函数上任意两点的连线总与某条切线平行。


评析:该题若用初等方法解决,构造函数同是本题的难点和突破口.

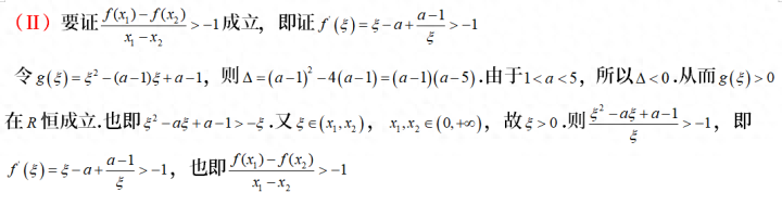
【3】 利用拉格朗日中值定理证明函数的最值、参数范围
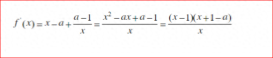
(1)此时需要证明的函数表达形式如下:

例1:(2009年辽宁卷理21题)











例4、在恒成立条件下,求解参数的范围。
“拉格朗日中值定理”蕴含着“消元”思想,把二 重变量的问题巧妙地转化为一元变量问题,这种 “减元增效”的思想贯穿数学发展的始终,也是我们在解题中需要坚持的思想。

例5、

例6、
抓住题目所给的条件、结论和结构,通过联想、 类比和构造,把复杂的问题向熟悉的问题转化的解 题方法称为“构造法”,运用“构造法”解题是创造性 思维的重要体现,通过构造可以建立各个数学知识 之间的联系和相互转化,可以让学生掌握定义、定理的不同表现形式,提高解题能力。


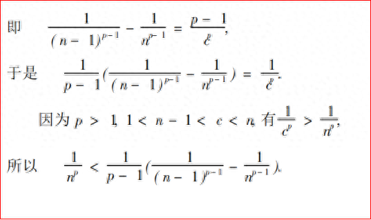
【4】利用拉格朗日中值定理证不等式
在近几年的数学高考中,出现了不少含有拉格朗日中值定理的试题.常以不等式恒成立问题为基本切入点,具有一定的深度,既符合高考命题“能力立意”的宗旨,又突出了数学的学科特点,较好地甄别了学生的数学能力. 下面以近几年全国各地的数学高考试题为例,说明拉格朗日中值定理的不同形式在高考中不等式的应用,更好地体会用“高等数学”知识解题的优势.
用拉格朗日中值定理证明不等式的步骤:

具体案例如下所以:


评注:这道题用初等数学的方法证明较为冗长,而且技巧性较强.因而思路较为突兀,大多数考生往往难以想到.相比之下,用拉格朗日中值定理证明,思路较为自然、流畅.体现了高观点解题的优越性,说明了学习高等数学的重要性.



例3:(2006年四川卷理第22题)

例4、用拉格朗日定理证明经典不等式




例5、

例6、


例7、

例8、


【5】利用拉格朗日定理证明根的存在
证明方程根的存在性,所给根的范围就是区间[a,b],把所给方程设为函数f(x)就可用拉格朗日中值定理证明方程根的存在性,一般用反证法.
