泰勒公式讲解(看完这篇让你高数不挂科之——泰勒公式)
今天的文章我们来讨论大名鼎鼎的泰勒公式,泰勒公式[1]真的非常有名,我相信上过高数课的一定都记得它的大名。即使你翘掉了所有的课,也一定会在考前重点里见过。
我对它的第一映像就是比较难,而且感觉没有太多意思,就是一个近似的函数而已。最近重温了一下有了一些新的心得,希望尽我所能讲解清楚。
泰勒公式的用途
在看具体的公式和证明之前,我们先来了解一下它的用途,然后带着对用途的理解再去思考它出现的背景以及原理会容易许多。这也是我自学这么久总结出来的规律。
泰勒公式本质解决的是近似的问题,比如说我们有一个看起来很复杂的方程,我们直接计算方程本身的值可能非常麻烦。所以我们希望能够找到一个近似的方法来获得一个足够近似的值。
从这里,我们得到了两个重点,一个是近似的方法,另一个是近似的精度。我们既需要找到合适的方法来近似,同时也需要保证近似的精度是可控的。否则一切都没有意义,结合实际其实很好理解,比如我们用机床造一个零件。我们都知道世界上不存在完美的圆,实际上我们也并不需要完美,但是我们需要保证偏差是可控的,并且在一定的范围内。泰勒公式也是一样,它既可以帮助我们完成近似,也可以保证得到的结果是足够精确的。
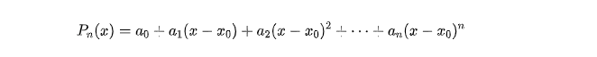
泰勒公式的定义
我们下面来看看泰勒公式的定义,我们已经知道了它的用途是求一个函数的近似值。但是我们怎么来求呢,其实一个比较朴素的思路是通过斜率逼近。
举个例子:

这是一张经典的导数图,从上图我们可以看到,随着Δx的减小,点 P0 和 P 也会越来越接近,这就带来了 Δy 越来越接近 Δx f'(x0)。
当然,当 Δx 比较大的时候显然误差就会比较大,为了缩小误差,我们可以引入二阶导数、三阶导数以及高阶导数。由于我们并不知道函数究竟可以有多少阶导数,我们不妨假设f(x)在区间内一直有(n+1)阶导数,我们试着写出一个多项式来逼近原函数:

我们希望这个式子与原值的误差越小越好,究竟要多小才算足够好呢?数学家们给出了定义,希望它是
(x-x0)^n 的高阶无穷小。也就是说误差比上 (x-x0)^n 的极限是0。
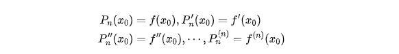
我们前面说了,我们是通过导数来逼近的,所以我们假设:

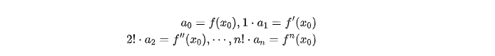
按照这个假设我们可以很方便地得到系数了,其实很简单,我们构造系数使得求导之后相乘的常数项全部约掉。

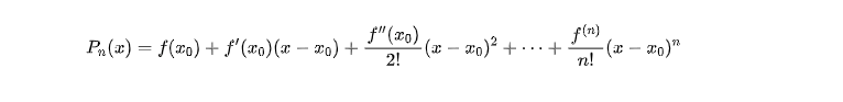
我们把这两个式子带入一下,可以得到:

泰勒公式的证明
其实上面的式子就是泰勒公式的内涵了,也就是说我们通过高阶导数来逼近了原函数。最后我们只需要证明这个式子就是我们想要的,也就是它的误差足够小。
我们同样用一个函数 R(x) 来表示 P_n(x) 与原函数 f(x) 的差值。我们直接比较比较困难,所以数学家采取了一系列花里胡哨、叹为观止的操作。
我们带入一下可以发现,R(x0) = 0,不仅如此:

以上步骤完全不需要证明,我们直接带入求导就可以得到。因为存在 x – x0 的项,很明显当 x = x0 的时候,可以得到如上的结论。
到这里,我们需要进行一个猜测,这里的步骤有一点跳跃。就连课本上都没有详细的解释,没有详细解释的原因也很简单,因为需要用到积分的知识。而读者在这里是还没有接触过积分的,不过,我们不是严谨的论文,可以稍稍放松一些。其实根据上面的公式,我们是可以有些猜测的。根据上面的规律,以及我们的目标——证明这个 R(x) 函数是一个关于 (x-x0)^n 的无穷小,所以我们可以猜测它应该是一个与 (x – x0)^(n+1) 相关的函数。
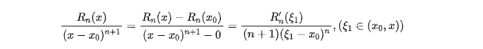
有了这个猜测之后,我们套用一下柯西中值定理:

我们令 f(x)=R_n(x), F(x)=(x-x0)^(n+1),套用中值定理可以得到:

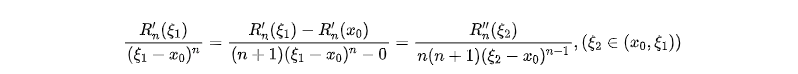
有了这个结论之后,我们再对函数 R’_n(x) 和(n+1)(x-x0)^n 在区间 (x0, ξ1) 上再次应用柯西中值定理:

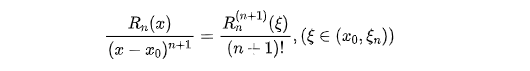
接下来就是熟悉的套娃环节了,经过一共n+1次套娃之后,我们可以得到:

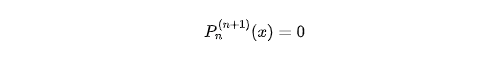
我们对 P_n(x) 求n+1次导数,可以得到0,因为所有项最多只有n次,求n+1次导数之后全部变成0。也就是说

所以

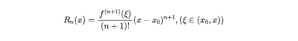
我们把这项代入上式,可以得到:

证明一下误差
接下来我们要证明这个误差 R_n(x) 是 (x-x0)^n 的高阶无穷小。
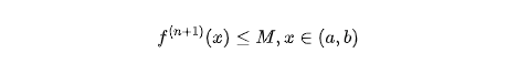
到这里,证明就很简单了,在固定的区间(a, b)中,很明显函数 f^(n+1)(x) 存在最大值,我们假设这个最大值是M。也就是说

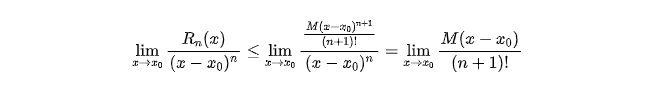
那么:

由于x逼近 x0,M是一个常数,所以这个极限趋向于0,我们可以用极限的定义很容易证明。于是我们证明了,误差 R_n(x) 是比 (x-x0)^n 更高阶的无穷小。
所以我们可以得到:

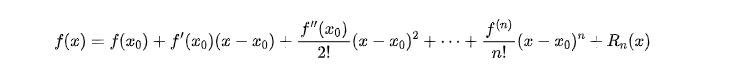
由于我们一共用到了n阶导数来表达原函数,所以我们称为这是原函数f(x)的n阶泰勒展开。最后的
R_n(x) ,我们称它为拉格朗日余项。我们也可以简写为 o[(x-x0)^n] ,它称为佩亚诺型余项,其实和拉格朗日余项是一回事,只是写的形式不同。
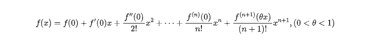
我们如果令 x0 = 0 的话,还可以将式子进一步化简。由于 ξ 在0和x中间,所以我们可以令 ξ = θx,原公式可以写成:

和上面的式子相比,这个式子要简单许多,它也有一个名字,叫做麦克劳林公式。在麦克劳林公式下的佩亚诺余项写成o(x^n),看起来非常简单。
如果觉得上面的式子有点多记不过来可以忽略原式,只需要记住麦克劳林公式即可。对于拉格朗日余项,我们也只会在计算误差的时候用到,在不需要考虑误差的场景下也可以忽略。
举例
下面我们来看一个实际的例子,来感受一下泰勒公式的强大。
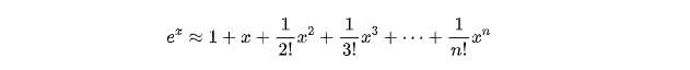
我们都知道有一些函数的值我们很难直接计算,比如 f(x)=e^x,和正弦余弦函数等。由于e本身就是一个无理数,有没有想过我们怎么来求一个带e的函数值?其实很多时候,就是用的泰勒公式。
我们就用f(x)=e^x 举例,看看怎么利用泰勒公式来计算。
为了简化计算,我们显然考虑麦克劳林公式。由于 x=0 时,e^x=1,并且 f'(x)=e^x=1。
所以我们可以得到:

我们代入泰勒公式,可以得到:

我们如果把最后一项当成误差,那么可以得到:

当n=10时,x=1,产生的误差为:

我们稍微算一下就可以知道,这个误差小于1e-6,已经足够接近了。也就是说我们把原本不太好计算的函数转化成了若干个多项式的和,可以非常简单地获得一个足够接近的近似值。并且除此之外,我们还能算出它的最大误差,实在是非常完美了。
思考
到这里还没有结束,看完所有的推导和计算之后,不知道你们有没有一个疑惑,这么一个牛叉并且复杂并且有用的公式,泰勒是怎么灵光一闪想到的?好像用一时的灵感很难解释。毕竟人的灵感往往都是一瞬间对某个点的顿悟,而这么多公式和结论是很难顿悟的。
之前上学的时候我完全没有意识到这个问题,这次重温的时候才觉得不对。当然你可能会说这里有这么多数学家的名字,显然不是一个人的功劳。但即使是这样,我仍然好奇,究竟是什么起因引出了这么伟大的公式?
直到我无意间看到知乎撒欢大神[2]的回答才恍然大悟。
我们设想一个问题,如果f(x)=g(x),那么显然f(x)和g(x)的各阶导数全都相等。那么问题来了,如果我们人为地构造一个函数h(x),使得它的各阶导数和g(x)吻合,那么是不是可以认为这个我们人为构造出来的函数也和g(x)相等呢?
然而有些函数的高阶导数是无穷无尽的,我们不可能人工全部拟合,所以只能退而求其次,拟合其中的n项。显然这样会有误差,那么我们需要知道误差的大小。于是就有了后面的拉格朗日余项大小的推算。
泰勒公式的出现和推导过程正是基于这样的思路,想到这里,我又有了新的想法。如果把各阶导数的项看成是特征,那么这个问题其实转化成了机器学习当中的回归问题,只不过在机器学习当中我们是设定优化目标和优化方法,让模型自行训练来拟合逼近,而泰勒公式其实是通过思维和数学的力量推算出了结果,两者的目的和结果是一样的,但是过程完全迥异,两个看似完全风马牛不相及的问题殊途同归,不得不说数学的魅力真的令人折服。