干货!一级造价师案例考试考点16~价差预备费的构成与计算
干货!一级造价师案例考试考点16~价差预备费的构成与计算
第一章 建设项目投资估算与财务评价
基础知识考点16:价差预备费的构成与计算
1. 价差预备费的构成
价差预备费是指为在建设期内利率、汇率或价格等因素的变化而预留的可能增加的费用,亦称为价格变动不可预见费。
价差预备费的内容包括:人工、设备、材料、施工机械的价差费,建筑安装工程费及工程建设其他费用调整,利率、汇率调整等增加的 费用。
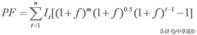
2. 价差预备费的计算
价差预备费一般根据国家规定的投资综合价格指数,按估算年份价格水平的投资额为基数,采用复利方法计算。计算公式为:

式中
PF—— 价差预备费;
It—— 建设期中第 t 年的静态投资计划额,包括工程费用、 工程建设其他费用及基本预备费;
n—— 建设期年份数;
f—— 年涨价率;
m—— 建设前期年限(从编制估算到开工建设,单位为年)。
专项训练:
某项目建安工程费为 5000 万元,设备购置费 3000 万元,工程建设其他费 2000 万元,基本预备费率 5% 。建设前期年限为 2 年, 建设期为 3 年,各年的投资比例分别为20%、60%、20%。年平均 涨价率 6%, 求价差预备费。
解析如下:
基本预备费=(5000+3000+2000)×5%=500 万元
静态投资=5000+3000+2000+500=10500 万元

第 1 年:10500×20% ×[(1+6%)2(1+6%)0.5-1]=329.32 万元
第 2 年:10500×60% ×[(1+6%)3(1+6%)0.5-1]=1425.22 万元
第 3 年:10500×20% ×[(1+6%)4(1+6%)0.5-1]=629.58 万元
建设期价差预备费为:329.32+1425.22+629.58=2384.12 万元

标签:
205
二位三通气动阀厂家解析:气动阀的工作原理 在当前市场经济环境里是不完善的因为气动阀制造厂家为了产品的竞争,各自均在气动阀统一设计的构思下,进行不同的创新,形成了各自...
161
抖音qq空间广告唱80000的女生是谁 给大家安利来啦 在qq空间经常会看见很多推荐的抖音短视频,最近有位妹纸在 抖音上唱的80000是谁 ?qq空间推荐的广告女叫什么名字?很多网友表示十分好...
158
10款儿童花式编发技法合集,时尚妈咪赶快收藏起来 爱美的妈妈们是不是厌倦了帮宝宝扎一个简单的辫子头,想着帮宝宝更换不同造型。这10款超美辫子编发简单易学,与连衣裙搭更是...
148
「三生三世枕上书」凤九帝君真圆房 今天也是疯狂给凤九东华打电话的一天! 围观凤九东华洗澡,围观凤九东华圆房! 帝君大人,你的儿子白滚滚就要来啦! 这个三十六万岁的老男人...
75
想成功退回“享骑”电单车299押金,你需要知道这些 近期,各种共享单车押金退款难的问题困扰着大量用户;作者本人申请过的就有摩拜、ofo、hello 单车等的押金退还,部分有点慢的一...
180
快手王乐乐又出大事了,车祸严重豪车撞毁,网友:不同情! 自从快手这个软件问世几年后,很多那些凭借着才艺走红的网红们也逐渐消失了。不知道有没有一些快手老玩家记得,当初...
200
角瓜炒火腿肠,一道春天的家常美食,鲜嫩可口 角瓜炒火腿肠是选用新鲜角瓜辅以青尖椒、火腿肠制做成一道家常美食。鲜香微辣,咸甜适度。 角瓜又称西葫芦。葫芦科南瓜属。果色...
123
飞机牵引车有多昂贵?售价秒杀劳斯莱斯,有的比飞机还贵? 飞机牵引车是一种专门用于牵引飞机的车辆。它通常由一台强大的发动机驱动,并配有适当的牵引装置和控制系统。 飞机...
126
纪晓岚与和珅的真实关系? 首先让我们先了解一下纪晓岚与和珅 纪昀,字晓岚,号石云,汉人,乾隆十九年,考中进士,官至礼部尚书、协办大学士、太子少保。曾任《四库全书》总...
77
安全生产,警钟长鸣,回顾8.12天津港爆炸事故 今天周三,是我公司每周一次的安全生产宣导早会,今天宣导中展示的安全事件是2015年天津港特大爆炸事故,也就是8.12天津港爆炸事件。...
208
“道台”明清朝特有的官员!相当于现在什么官? 明清两朝官员无论品级、补服基本一样!不过明清朝有一个官职,是以前朝代不存在的官职!就是今天我们说的道台。 我们印象当中...
100
知否知否:墨兰的扮演者竟是她?就连儿时的杨紫也不一定能比? 说起《知否》的演员,最亮眼的还是小演员们,墨兰虽是坏角但饰演她的小演员可是老戏骨了。 饰演墨兰的小演员名...
98
无爱的婚姻最可怕 曾经,我以为两个人能走进婚姻组成一个家庭,彼此间一定存在浓得化不开的爱,最初的心动,决定结婚时强烈的爱情,相处久了的亲情,都是爱存在的一种方式。直...
151
王者荣耀:职业主播献祭流打法了解一下?上分稳稳的 给大家讲解下最近很火的献祭流打法。 当前献祭流主要只能用雅典娜,献祭流就是利用自己的aoe伤害和随地复活的灵活性来清兵...
164
三个方面带你了解真实的上海拍拍贷 不论是个人消费还是企业经营,都会遇到资金周转困难的时候。在遇到缺钱用的窘境时,人们往往会向金融机构寻求帮助,来减轻身上的经济压力。...
180
DNF里鬼剑士最帅的武器TOP10 TOP10:冥炎刀 魂殇 冥炎刀是80的史诗太刀,他的刀身不时会有火焰冒出,就连刀柄处都会有,是一把少有的站街动态武器。 TOP9:天脊骨狱息 外形酷似泰拉石...
185
最强空间型内线!湖人新援伍德体测数据与生涯履历一览! 近3个赛季伍德保持着场均16分+7板以上的输出,是标准的空间型内线,休赛期伍德选择放弃更高薪资以底薪签约湖人,大概率...
118
最怕你一生碌碌无为,还安慰自己平凡可贵 只有你自己能掌控自己的幸福。你需要我的时候,我都在。到我需要你的时候,我始终找不到你。或许我要的,你给的,都不相同。 最怕你...
93
这三种关公刀,很多人都会混,只有一种是真正的实战刀 所谓关公关,是假托三国猛将关羽之名所造的刀,人们习惯地称其为“青龙偃月刀”,这种刀多见于小说、评书和戏台。历史上...
93
有一身正气的人,福气和运气都不会太差 人要有一身正气,不管做什么事情,都要行得正,只有当你行得正,没有做出一些不好的事情,你自会得到老天爷的庇佑。 在任何时候都不要...